Quy đổi điểm trúng tuyển giữa các phương thức xét tuyển đại học chính quy năm 2025
THÔNG BÁO
Quy đổi điểm trúng tuyển
giữa các phương thức xét tuyển đại học chính quy năm 2025
(Kèm theo Thông báo số 415 /TB-ĐHSPHN2 ngày 23 tháng 7 năm 2025 của Trường ĐHSP Hà Nội 2)
1. Phương thức sử dụng điểm Kỳ thi độc lập của Trường ĐHSP Hà Nội 2
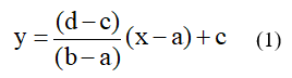
Điểm trúng tuyển phương thức A được quy đổi sang điểm trúng tuyển phương thức B theo công thức (1) và các khoảng điểm tương đương như Bảng 1 (xem Phụ lục kèm theo):

trong đó x là điểm trúng tuyển phương thức A, y là điểm trúng tuyển phương thức B; [a, b] là khoảng điểm của phương thức A tương đương với khoảng điểm [c, d] của phương thức B. Các hệ số a, b, c, d được xác định theo bách phân vị kết quả kỳ thi, bài thi/tổ hợp xét tuyển.
2. Phương thức sử dụng kết quả bài thi đánh giá năng lực của các cơ sở đào tạo khác
Đối với phương thức sử dụng kết quả bài thi đánh giá năng lực của ĐHQG Hà Nội (HSA), ĐHQG TP.Hồ Chí Minh (V-ACT), Trường ĐHSP Hà Nội (SPT) và Trường ĐHSP TP.Hồ Chí Minh (H-SCA): điểm trúng tuyển được quy đổi từ điểm trúng tuyển theo phương thức sử dụng điểm thi tốt nghiệp THPT năm 2025 bằng cách sử dụng công thức (1) và Bảng 2 (xem Phụ lục kèm theo).
3. Đối với phương thức xét tuyển sử dụng kết quả học tập cấp THPT (học bạ)
| Sử dụng điểm THPT | Sử dụng kết quả học bạ | |||
| A00 | B00 | C00 | D01 | |
|
15 - 20 |
19 - 24 |
20 - 25 |
17 - 22 |
19 - 24 |
|
20 - 25 |
24 - 29 |
25 - 30 |
22 - 27 |
24 - 29 |
|
25 - 30 |
29 - 30 |
|
27 - 30 |
29 - 30 |
Điểm trúng tuyển phương thức sử dụng kết quả học tập cấp THPT (học bạ) được quy đổi tương đương theo công thức (1).
PHỤ LỤC
Bảng 1. Bảng quy đổi tương đương điểm trúng tuyển giữa phương thức sử dụng điểm Kỳ thi độc lập của Trường ĐHSP Hà Nội 2 với phương thức sử dụng điểm thi tốt nghiệp THPT
|
Khoảng điểm |
Khối A00 |
Khối B00 |
Khối C00 |
Khối D01 |
||||
|
THPT |
HPU2 |
THPT |
HPU2 |
THPT |
HPU2 |
THPT |
HPU2 |
|
|
Khoảng 1 |
29,00 - 30 |
29,60 - 30 |
28,25 - 30 |
28,95 - 30 |
29,25 - 30 |
28,90 - 30 |
27,00 - 30 |
28,05 - 30 |
|
Khoảng 2 |
25,25 - 29,00 |
27,05 - 29,60 |
21,00 - 28,25 |
23,40 - 28,95 |
26,50 - 29,25 |
25,10 - 28,90 |
24,50 - 27,00 |
26,65 - 28,05 |
|
Khoảng 3 |
15,00 - 25,25 |
16,60 - 27,05 |
15,00 - 21,00 |
17,00 - 23,40 |
22,20 - 26,50 |
19,95 - 25,10 |
15,00 - 24,50 |
14,50 - 26,65 |
|
Khoảng 4 |
|
|
|
|
15,00 - 22,20 |
12,70 - 19,95 |
|
|
Bảng 2. Bảng quy đổi tương đương kết quả bài thi đánh giá năng lực với điểm thi tốt nghiệp THPT
|
HSA |
THPT |
|||
|
A00 |
B00 |
C00 |
D01 |
|
|
120 - 150 |
29,50 - 30 |
29,00 - 30 |
29,05 - 30 |
27,05 - 30 |
|
100 - 120 |
27,25 - 29,50 |
26,50 - 29,00 |
27,75 - 29,05 |
24,25 - 27,05 |
|
75 - 100 |
21,85 - 27,25 |
20,75 - 26,50 |
24,50 - 27,75 |
20,25 - 24,25 |
|
40 - 75 |
10,70 - 21,85 |
10,00 - 20,75 |
14,75 - 24,50 |
12,60 - 20,25 |
|
V-ACT |
THPT |
|||
|
A00 |
B00 |
C00 |
D01 |
|
|
1000 - 1200 |
26,25 - 30 |
28,00 - 30 |
26,25 - 30 |
24,50 - 30 |
|
800 - 1000 |
20,85 - 26,25 |
23,25 - 28,00 |
22,55 - 26,25 |
20,55 - 24,50 |
|
600 - 800 |
17,10 - 20,85 |
18,45 - 23,25 |
19,75 - 22,55 |
17,70 - 20,55 |
|
400 - 600 |
11,95 - 17,10 |
12,35 - 18,45 |
15,00 - 19,75 |
13,00 - 17,70 |
|
SPT |
THPT |
|||
|
A00 |
B00 |
C00 |
D01 |
|
|
25,00 - 30 |
28,50 - 30 |
28,40 - 30 |
29,00 - 30 |
27,40 - 30 |
|
20,00 - 25,00 |
26,15 - 28,50 |
25,15 - 28,40 |
26,80 - 29,00 |
24,25 - 27,40 |
|
15,00 - 20,00 |
22,15 - 26,15 |
21,00 - 25,15 |
23,50 - 26,80 |
20,50 - 24,25 |
|
9,00 - 15,00 |
15,00 - 22,15 |
14,00 - 21,00 |
14,00 - 23,50 |
15,00 - 20,50 |
|
H-SCA |
THPT |
|||
|
A00 |
B00 |
C00 |
D01 |
|
|
25,00 - 30 |
28,40 - 30 |
28,60 - 30 |
27,60 - 30 |
26,60 - 30 |
|
20,00 - 25,00 |
24,60 - 28,40 |
24,60 - 28,60 |
23,40 - 27,60 |
21,20 - 26,60 |
|
15,00 - 20,00 |
20,40 - 24,60 |
20,40 - 24,60 |
18,80 - 23,40 |
16,40 - 21,20 |
|
10,00 - 15,00 |
14,80 - 20,40 |
14,80 - 20,40 |
13,20 - 18,80 |
11,40 - 16,40 |
